M&A할 때 '웃돈' 주는 케이스 : 영업권과 경영 프리미엄

내 사업의 영업권은 얼마를 받을 수 있을까
모멘텀메이커's avatar
Nov 21, 2024
M&A할 때 '웃돈' 주는 케이스 : 영업권과 경영 프리미엄

경영권 프리미엄을 얹어서 본래의 가치보다 더 비싸게 지분을 매각했다는 내용 기업의 인수나 합병 관련 기사에서 종종 들어 본 적 있으실텐데요. 인수합병 시 인수대상 기업의 가치 평가 과정에서 경영 프리미엄과 더불어 영업권은 비슷하면서 중요한 개념으로 자주 언급이 됩니다. 이 두 개념은 밀접한 관계를 가지고 있는 만큼 유사해보이지만 그 역할과 특성이 다릅니다.

이번 글에서는 영업권과 경영권 프리미엄을 정의와 산식 그리고 관련한 구체적인 예시를 함께 알아보도록 하겠습니다.

영업권(Goodwill)이란 무엇인가

영업권은 기업이 평소에 영업한 결과로 발생하는 무형의 자산에 대한 가치입니다. 여기서 ‘무형의 자산’이라 함은 기업의 브랜드 가치, 고객 충성도, 훌륭한 관리 시스템 등과 같은 요소들을 말합니다. 즉, 단순히 기업의 물리적인 자산(건물, 기계 등)만으로는 설명할 수 없는 가치라고 할 수 있습니다. 이 가치를 평가하여 인수합병 과정에서 인수 기업이 인수 대상 기업을 순자산 가치 이상으로 지불하는 금액이 바로 영업권이 되죠.

  • 만약 A 기업이 B 기업을 인수한다고 할 때, 고객 신뢰도나 브랜드 충성도 등으로 인해 구매가(기업을 인수하기 위해 지불한 금액)가 장부가보다 높다면, 그 차액이 영업권으로 기록됩니다. 영업권은 기업 평가에서 현재 식별 가능한 자산과 부채를 제외하고 남은 것들의 가치를 다루는 것이기 때문에 위와 같이 이해할 수 있습니다.

  • 무형의 자산에는 앞서 언급한 것 외에도 기업의 상호, 상표, 장기간에 걸쳐 특정지역에서 이룩한 성공적이 영업성과, 그 동안의 투자를 통해 축적한 생산/판매 노하우 등이 포함됩니다. 이러한 무형자산으로 인해 미래에 기대되는 초과 수익력을 평가하여 나오는 금액이 영업권이기 때문에 기업의 미래 성장 가능성을 평가한다는 측면에서 매우 중요한 요소라고 할 수 있어요.

영업권 계산하는 방법

Good will = Purchase Price - Net Identifiable Assets

Goodwill: 인수로 인해 발생하는 무형 자산.

Purchase Price: 기업 인수에 지불한 총 금액.

Net Identifiable Assets: 인수 기업의 식별 가능한 자산에서 부채를 뺀 순자산 가치

기업의 총 인수가격에서 식별 가능한 순자산 가치(총 자산 - 총 부채)를 차감하여 계산해요. 예를 들면, 인수가격이 100억 원이고 순자산 가치가 70억 원이라면, 영업권은 30억 원으로 책정하는 것이죠.

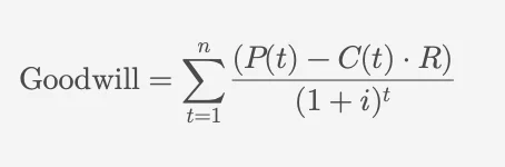
초과이익법을 이용한 영업권 산식

좀더 어려운 수학으로 설명을 해보자면, 아래와 같은 방법도 있으니 참고해보세요.

  • P(t) : t년도의 추정순이익

  • C(t ) : t년도의 자본금 (또는 자기자본)

  • R: 정상이익률

  • i: 자본환원율(할인율)

  • n: 영업권지속연수

정상 이익률을 초과하는 이익의 가치를 가지고 있는 것이 영업권이기 때문에 초과이익금액을 계산합니다. 초과이익이 n년동안 지속된다는 전제로 예상순이익 (P(t))에서 순자산(C(t ))에 정상이익률(R)을 곱한 것을 뺍니다. 그리고 이것을 초과이익환원율((1+r)^t)로 나눠 현재의 가치로 환산합니다.

영업권은 기업고유의 가치로 학문적으로도 정립된 개념이며 그 평가 방법은 위의 산식처럼 논리적인 평가가 가능합니다. 영업권이 중요한 개념이기는 하지만 보이는 것처럼 추정변수가 많아 평가결과의 객관성을 유지하기가 어렵다는 단점도 있습니다. 또한 미래 현금흐름할인가치 및 수익 가치 평가방법에 의한 기업가치의 평가와 중복되는 면이 있기도 합니다.

경영권 프리미엄(Control Premium)이란 무엇인가

기업 인수합병 시 특정 기업의 경영권을 획득하기 위해 추가로 지불하는 금액을 말합니다. 즉, 인수자가 주식을 매수할 때 기업의 경영을 통제할 수 있는 권리도 가지게 될 때, 그 대가로 지불하는 가치라고 할 수 있습니다. 이를 통해 경영권을 획득한 인수자인 주주는 기업 의사결정에 영향력을 미칠 수 있는 권리를 가지고 경영 전략, 예산 배분 등 주요 결정에 참여할 수 있어 독립적인/일반적인 주주보다 결정적인 역할을 합니다.

최대주주가 보유한 주식은 경영권을 가지고서 더 큰 권한과 영향력을 발휘하기 때문에 단순히 시장에서 거래되는 가격보다 더 높은 가치를 인정받는데요, 경영권 프리미엄은 이렇게 최대 주주가 보유한 주식의 가치를 더 높이는 개념이라고 할 수 있습니다.

경영권 프리미엄은 영업권과는 달리 기업고유의 가치라기보다 기업의 경영권의 거래에 있어 매수에 따른 시너지 효과를 내는 가치라는 설명에 더 가깝습니다. 또 학문적으로도 명확히 정립되지 못한 개념입니다.

경영권 프리미엄은 주로 경영권을 확보하는 과정에서 협상력이 반영된 거래 가격이고,

영업권은 기업의 유형 및 무형 자산 가치를 초과하는 비재무적 요소를 포함한 무형 자산이라고 볼 수 있습니다.

두 개념 모두 M&A 거래에서 중요한 역할을 하며, 각각 거래의 협상 조건과 회계 처리를 이해하는 데 필수적인 요소입니다.

경영권 프리미엄 계산하는 방법

경영권 프리미엄은 기업 운영의 결정에 가장 큰 영향을 미칠 수 있는 ‘최대 주주 및 그 특수관계인이 보유한 주식에 대하여 주식가치 평가액에서 일정비율을 할증한 금액’으로 계산하게 됩니다. 예를 들어 인수 대상 기업의 주식이 1주당 100만원으로 평가되었다고 했을 때, 최대 주주가 보유하여 경영권을 가진 이 주식은 더 많은 가치를 지닙니다. 그래서 이 주식에 경영권 프리미엄으로 20%를 할증하여 이 주식의 가치는 100만원에서 120만원으로 평가됩니다.

인수대상기업의 최대주주 및 그 특수관계인의 지분율의 정도에 따라 할증 비율이 달라집니다.

  • 최대주주 및 그 특수관계인의 지분율이 50% 이하 : 보수적 평가액에 20% 가산, 단 중소기업은 10% 가산

  • 최대주주 및 그 특수관계인의 지분율이 50% 초과 : 보수적 평가액에 30 %가산, 단 중소기업은 15% 가산

일본의 M&A에서 경영권 프리미엄이 어떻게 결정될까

역시 구체적인 예시를 봐야지 더 이해가 잘 되겠죠?

M&A가 많이 일어나는 일본 기업에서 M&A시에 생기는 프리미엄의 지불형태가 어떻게 되는지 한번 살펴 보겠습니다.

노무라종합연구소에서 주식의 공개매수에 의한 M&A 실태를 분석한 결과, 일본 기업의 경우 인수합병 시 인수 대상 기업의 주식에 평균적으로 25%의 프리미엄을 붙인다고 합니다. 이는 평균적으로 25%의 주주’가치’의 상승이 필요하다는 것을 의미합니다.

예를 들어, M&A 진행 전 회사의 가치*(‘순부채’와 ‘시가총액’을 더한 가치)가 1000억원으로 평가되었다면, 프리미엄 적용하여 25%를 붙인 후 가격인 1250억원으로 인수하는 것입니다. 프리미엄은 인수 후 회사의 운영권과 노하우에 대한 가치이기 때문에 ‘M&A 이후 실현해야할 기업의 가치’라고도 표현할 수 있습니다.

한국에서는 M&A 과정에서 10%~30% 이상의 프리미엄이 발생할 수 있으며 기업이나 산업의 특성에 따라 달라지는데 반해, 일본은 프리미엄이 평균 25% 정도로 비교적 일정한 편입니다. 이는 일본 기업의 시장성과 경영 관행에 따라 결정되는 경향이 있기 때문입니다.

하지만 기업의 가치가 늘 예상한 것만큼 실현되지 않을 수 있습니다. 인수합병 이후 나타날 수 있는 업적의 하락은 주로 조정 과정에서 생기는 새로운 환경적 변화에 따른 직원들의 생산성 저하, 합병 이후 반대했던 직원의 이직, 합병으로 인해 신뢰도 저하에 따른 고객 상실 등의 원인이 있습니다. 이러한 요인들로 인해 인수합병 당시 평가된 가치만큼 실현되지 못하고 손실이 날 수 있는데요, 이때 요인별로 손실액을 산출하는 것은 매우 어렵고 애매하지만 일반적으로 사내혼란에 따른 생산성 저하로 인한 손실은 ‘약 3개월간 5~10%’, 이직으로 인한 손실은 ‘약 6개월간 1%’, 고객상실로 인한 손실은 ‘약 3개월간 5~10%’ 의 이익이 감소한다고 추정하고 있습니다.

영업권과 경영권 프리미엄 모두 기업이 보유한 현재 눈에 보이는 가치 이상으로 가지고 있는 전략적 자산 또는 무형자산의 가치를 반영하는 개념이었기 때문에 유사해보였는데요, 영업권은 주로 기업이 형성한 무형의 자산을 나타내고, 경영권 프리미엄은 기업의 경영 의사결정에 대한 통제권을 반영합니다. 두 개념 모두 기업의 총 가치를 측정하는 데 중요하지만, 그 접근 방식과 측정 방법이 다릅니다. 따라서 경영권의 이동을 수반하는 M&A거래에 있어서는 기업의 가치 평가 및 구체적인 가격협상 전에 영업권과 경영권 프리미엄에 대한 개념 정립을 명확히 해야 협상과정에서 발생할 수 있는 용어의 혼돈과 지체를 피할 수 있을 것입니다.

자, 이제 이론적인 경영권 프리미엄에 대한 이해를 마쳤으니, 실제 구체적인 사례에서 영업권과 경영권 프리미엄을 인정 받은 케이스에 대해 모멘텀메이커에게 들어볼까요?

Share article

IT 전문 M&A 자문사 모멘텀메이커의 인사이트를 훔쳐 보세요